news
上周五WA西澳发放了三月轮的预邀请!
这一轮还是只发了190,而且高达2500个!
最重要的是分数低到了门槛分!
一起看看这一轮的邀请情况。
WS1通道:本次邀请共计300人,大多数为居住在澳洲其他州和或者西澳的医疗类相关专业:护理裸分最低60分上岸,多数裸分在65-75分;
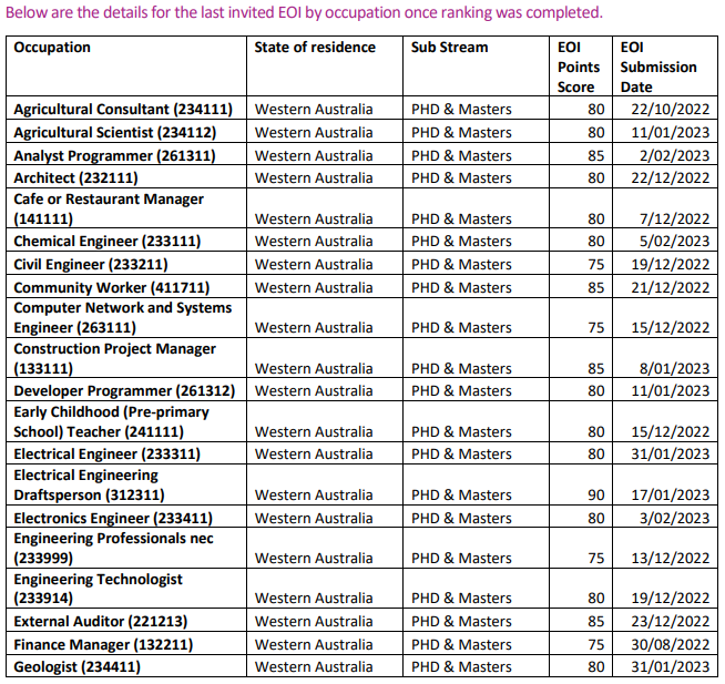
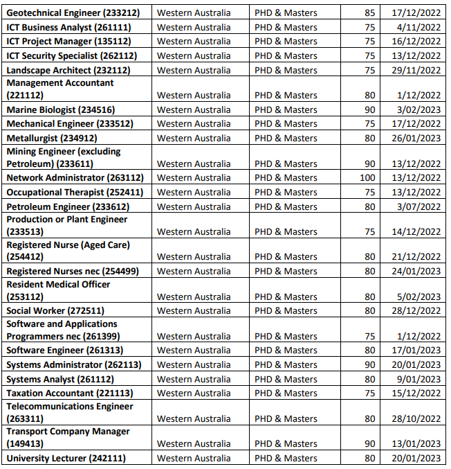
WS2通道:本次邀请共计1600人,计算机类,教师类,社工类均有获邀,多个IT、工程裸分低至60分。且只邀请了西澳本地的申请人。


毕业生通道(高等教育):本次邀请共计554人 ,只邀请了在西澳本地的申请人,本科学历起,裸分最低60分。

毕业生通道(VET):本次邀请共计46人,邀请职业较少,本地人为主,只有一个海外申请人。
总的说来
西澳邀请分数已经降到最低,很多裸分60分即可。
境外申请人几乎不邀请了,优先本地申请人。
西澳的留学生一毕业几乎就有60分,走毕业生通道无需工作经验Job offer,可以说是探囊取物。
截止2月底,西澳190州担保还有3587个配额,使用率仅33%左右,在财年还剩三个多月的情况下还是非常充足的。州政府近期也有在加快审理。
另外,西澳更偏向于愿意搬到本地的申请人,我们有客户一搬去即获邀,本州的毕业生也更有机会。
总之,本财年机会多多,建议大家先做好职业评估,结合自己的实际情况选择好适合自己的通道后就及早递交吧!
关注我们,定期分享各国最新留学移民资讯+免费升学指导+留学行前指导+各类留学移民干货
领拓国际教育集团 版权所有 湘ICP备14001388号-2